티스토리 뷰
모든 트리 순회의 기준은 부모 노드로 한다.
탐색 방법
전위 순회(preorder traversal) : 부모노드 -> 왼쪽 자식 노드 -> 오른쪽 자식 노드 순서로 루트 노드 부터 시작한다.
중위 순회(inorder traversal) : 왼쪽 자식 노드 -> 부모노드 -> 오른쪽 자식 노드 순서로 맨 왼쪽 노드를 방문하고 부모노드를 방문한다.
후위 순회(postorder traversal) : 왼쪽 자식 노드 -> 오른쪽 자식 노드 -> 부모노드 순서로 마지막 래벨의 노드들 부터 방문한다.
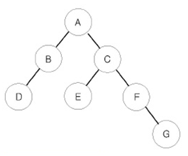
예시

위 사진에서 전위, 후위, 중위 탐색방법
- 전위 순회한 결과 : A -> B -> D -> C -> E -> F -> G
- 중위 순회한 결과 : D -> B -> A -> E -> C -> F -> G
- 후위 순회한 결과 : D -> B -> E -> G -> F -> C -> A
'이것저것 > etc' 카테고리의 다른 글
| 중3 동아윤정미 2과 본문/mp3 (0) | 2021.04.07 |
|---|---|
| 동아윤정미 중3 1과 본문/mp3 (0) | 2021.03.04 |
| PC - QR code reader (0) | 2021.02.23 |
| 용어정리 : 디지털 컨버전스 (0) | 2021.01.31 |
| 용어정리 : 트래픽(traffic) (0) | 2021.01.25 |
댓글
공지사항
최근에 올라온 글
최근에 달린 댓글
- Total
- Today
- Yesterday
TAG
- 1
- 스택
- 4
- FIBO
- 프로그레머스
- 카카오 2021 블라인드 테스트
- 피보나치
- 7567
- openCV
- 직업군 추천
- python
- web
- 파이썬
- c++
- programmers
- 넓이
- 더하기
- 다익스트라
- 21758
- 쇠막대기
- 2
- 나머지
- forensic
- HackCTF
- boj
- 괄호
- math
- 백준
- 👼
- 꿀따기
| 일 | 월 | 화 | 수 | 목 | 금 | 토 |
|---|---|---|---|---|---|---|
| 1 | ||||||
| 2 | 3 | 4 | 5 | 6 | 7 | 8 |
| 9 | 10 | 11 | 12 | 13 | 14 | 15 |
| 16 | 17 | 18 | 19 | 20 | 21 | 22 |
| 23 | 24 | 25 | 26 | 27 | 28 | 29 |
| 30 |
글 보관함